Validation Data Gallery
Tested Applications
Recommended dilution
| Application | Dilution |
|---|---|
| It is recommended that this reagent should be titrated in each testing system to obtain optimal results. | |
Product Information
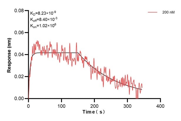
60841-2-PBS targets TNRC6A as part of a matched antibody pair:
MP51246-1: 60841-1-PBS capture and 60841-2-PBS detection (validated in Cytometric bead array)
Unconjugated mouse monoclonal antibody pair in PBS only (BSA and azide free) storage buffer at a concentration of 1 mg/mL, ready for conjugation.
This conjugation ready format makes antibodies ideal for use in many applications including: ELISAs, multiplex assays requiring matched pairs, mass cytometry, and multiplex imaging applications.Antibody use should be optimized by the end user for each application and assay.
| Tested Reactivity | human |
| Host / Isotype | Mouse / IgG1 |
| Class | Monoclonal |
| Type | Antibody |
| Immunogen |
CatNo: Ag34199 Product name: Recombinant human TNRC6A protein Source: e coli.-derived, PET28a Tag: 6*His Domain: 338-448 aa of BC024324 Sequence: SEEEISRFFAQSQSLTPSPGWQSLGSSQSRLGSLDCSHSFSSRTDLNHWNGAGLSGTNCGDLHGTSLWGTPHYSTSLWGPPSSSDPRGISSPSPINAFLSVDHLGGGGESM 相同性解析による交差性が予測される生物種 |
| Full Name | trinucleotide repeat containing 6A |
| Calculated molecular weight | 182 kDa |
| GenBank accession number | BC024324 |
| Gene Symbol | TNRC6A |
| Gene ID (NCBI) | 27327 |
| Conjugate | Unconjugated |
| Form | |
| Form | Liquid |
| Purification Method | Protein G purification |
| UNIPROT ID | Q8NDV7 |
| Storage Buffer | PBS only{{ptg:BufferTemp}}7.3 |
| Storage Conditions | Store at -80°C. |

