Validation Data Gallery
Tested Applications
Recommended dilution
| Application | Dilution |
|---|---|
| It is recommended that this reagent should be titrated in each testing system to obtain optimal results. | |
Product Information
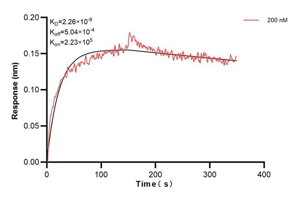
67765-5-PBS targets SAR1B as part of a matched antibody pair:
MP50803-2: 67765-4-PBS capture and 67765-5-PBS detection (validated in Cytometric bead array)
MP50803-3: 67765-6-PBS capture and 67765-5-PBS detection (validated in Cytometric bead array)
Unconjugated mouse monoclonal antibody pair in PBS only (BSA and azide free) storage buffer at a concentration of 1 mg/mL, ready for conjugation.
This conjugation ready format makes antibodies ideal for use in many applications including: ELISAs, multiplex assays requiring matched pairs, mass cytometry, and multiplex imaging applications.Antibody use should be optimized by the end user for each application and assay.
| Tested Reactivity | human |
| Host / Isotype | Mouse / IgG1 |
| Class | Monoclonal |
| Type | Antibody |
| Immunogen |
CatNo: Ag7718 Product name: Recombinant human SAR1B protein Source: e coli.-derived, PGEX-4T Tag: GST Domain: 1-198 aa of BC002847 Sequence: MSFIFDWIYSGFSSVLQFLGLYKKTGKLVFLGLDNAGKTTLLHMLKDDRLGQHVPTLHPTSEELTIAGMTFTTFDLGGHVQARRVWKNYLPAINGIVFLVDCADHERLLESKEELDSLMTDETIANVPILILGNKIDRPEAISEERLREMFGLYGQTTGKGSISLKELNARPLEVFMCSVLKRQGYGEGFRWMAQYID 相同性解析による交差性が予測される生物種 |
| Full Name | SAR1 homolog B (S. cerevisiae) |
| Calculated molecular weight | 22 kDa |
| GenBank accession number | BC002847 |
| Gene Symbol | SAR1B |
| Gene ID (NCBI) | 51128 |
| Conjugate | Unconjugated |
| Form | |
| Form | Liquid |
| Purification Method | Protein G Magarose purification |
| UNIPROT ID | Q9Y6B6 |
| Storage Buffer | PBS only{{ptg:BufferTemp}}7.3 |
| Storage Conditions | Store at -80°C. |


