Validation Data Gallery
Tested Applications
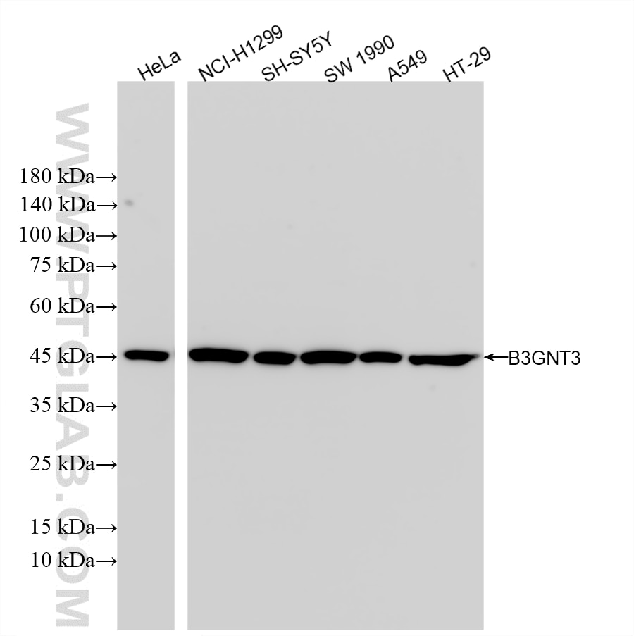
| Positive WB detected in | HeLa cells, NCI-H1299 cells, SH-SY5Y cells, SW 1990 cells, A549 cells, HT-29 cells |
Recommended dilution
| Application | Dilution |
|---|---|
| Western Blot (WB) | WB : 1:1000-1:4000 |
| It is recommended that this reagent should be titrated in each testing system to obtain optimal results. | |
| Sample-dependent, Check data in validation data gallery. | |
Product Information
85713-1-RR targets B3GNT3 in WB, ELISA applications and shows reactivity with human samples.
| Tested Reactivity | human |
| Host / Isotype | Rabbit / IgG |
| Class | Recombinant |
| Type | Antibody |
| Immunogen |
CatNo: Ag12061 Product name: Recombinant human B3GNT3 protein Source: e coli.-derived, PET28a Tag: 6*His Domain: 34-372 aa of BC066876 Sequence: CKVQEQPPAIPEALAWPTPPTRPAPAPCHANTSMVTHPDFATQPQHVQNFLLYRHYRHFPLLQDVPPSKCAQPVFLLLVIKSSPSNYVRRELLRRTWGRERKVRGLQLRLLFLVGTASNPHEARKVNRLLELEAQTHGDILQWDFHDSFFNLTLKQVLFLQWQETRCANASFVLNGDDDVFAHTDNMVFYLQDHDPGRHLFVGQLIQNVGPIRAFWSKYYVPEVVTQNERYPPYCGGGGFLLSRFTAAALRRAAHVLDIFPIDDVFLGMCLELEGLKPASHSGIRTSGVRAPSQHLSSFDPCFYRDLLLVHRFLPYEMLLMWDALNQPNLTCGNQTQIY 相同性解析による交差性が予測される生物種 |
| Full Name | UDP-GlcNAc:betaGal beta-1,3-N-acetylglucosaminyltransferase 3 |
| Calculated molecular weight | 372 aa, 43 kDa |
| Observed molecular weight | 43 kDa |
| GenBank accession number | BC066876 |
| Gene Symbol | B3GNT3 |
| Gene ID (NCBI) | 10331 |
| Conjugate | Unconjugated |
| Form | |
| Form | Liquid |
| Purification Method | Protein A purification |
| UNIPROT ID | Q9Y2A9 |
| Storage Buffer | PBS with 0.02% sodium azide and 50% glycerol{{ptg:BufferTemp}}7.3 |
| Storage Conditions | Store at -20°C. Stable for one year after shipment. Aliquoting is unnecessary for -20oC storage. |
Background Information
Beta-1,3-N-acetylglucosaminyltransferase 3 (B3GNT3) is a type II transmembrane protein located in the Golgi apparatus and contributes to the regulation of L-selectin ligand function, lymphocyte trafficking, and T cell homing. B3GNT3 is overexpressed in breast cancer, and also plays a critical role in the aggressiveness of pancreatic cancer (PMID: 33718036, 30466404). Western blot analysis detected B3GNT3 at an apparent molecular mass of 43 kDa.
Protocols
| Product Specific Protocols | |
|---|---|
| WB protocol for B3GNT3 antibody 85713-1-RR | Download protocol |
| Standard Protocols | |
|---|---|
| Click here to view our Standard Protocols |

